
I. Серобактерии
II. Метанобактерии
III. Болота, очистные сооружения, рубец животных
IV. Газ метан
V. Сера и соединения серы
VI. Серная кислота
VII. Месторождения серы
VIII. Архебактерии

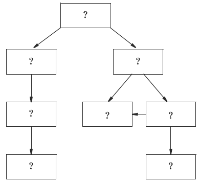
Используя схему, подготовьте рассказ о значении археобактерий в природе.
17. Найдите ошибку в предложении.
По форме бактерии делятся на кокки, бациллы, спириллы, талломы, вибрионы.
Выберите верное утверждение.
18. 1. Бактерии – диплококки представляют собой скопления плотных пачек.
2. На поверхности бактерий часто развиты жгутики и ворсинки.
3. Клеточная стенка бактерий образована целлюлозой.
4. У бактерий отсутствуют мембранные органоиды, например митохондрии, пластиды.
5. В бактериальной клетке все ферменты, которые обеспечивают процессы ее жизнедеятельности, находятся в цитоплазме или на внутренней поверхности цитоплазматической мембраны.
6. Большинство бактерий автотрофы.
7. Некоторые бактерии синтезируют органическое вещество из неорганического за счет энергии окисления неорганических соединений.
8. Некоторые бактерии могут преобразовывать солнечную энергию.
9. Бактерии разрушают отмершие растительные и животные организмы.
10. Бактерии преобразуют органические вещества в неорганические и возвращают химические элементы в биологический круговорот.
11. Бактерии поражают только животных и человека.
12. Первые бактерии появились 7 млрд лет назад.
ЦАРСТВО ГРИБЫ. ОТДЕЛ НАСТОЯЩИЕ ГРИБЫ
ОТДЕЛ ООМИЦЕТЫ
Выберите правильный ответ.
1. Грибы изучает наука:
